Learning

Derivatives Of Trig

🍴 Derivatives Of Trig

Translate the differential of trigonometric functions is important for anyone studying tophus or advanced mathematics. These derivatives are fundamental in various fields, include purgative, engineering, and economics. This position will dig into the derivatives of trigonometric functions, their coating, and how to calculate them effectively.

Understanding Trigonometric Functions

Trigonometric functions are crucial in maths and are used to sit periodical phenomenon. The chief trigonometric function are sine (sin), cosine (cos), tangent (tan), cotangent (cot), secant (sec), and cosec (csc). Each of these mapping has a unequalled differential that is significant to translate.

Derivatives of Basic Trigonometric Functions

The differential of the canonic trigonometric use are as follow:

  • Sine (sin x): The differential of sin (x) is cos (x).
  • Cosine (cos x): The derivative of cos (x) is -sin (x).
  • Tan (tan x): The differential of tan (x) is sec² (x).

These derivative are deduct using the limit definition of a derivative and the fundamental trigonometric identities.

Derivatives of Other Trigonometric Functions

besides the introductory trigonometric functions, there are other trigonometric purpose whose differential are also important to know:

  • Cotangent (cot x): The derivative of cot (x) is -csc² (x).
  • Secant (sec x): The derivative of sec (x) is sec (x) tan (x).
  • Cosecant (csc x): The derivative of csc (x) is -csc (x) cot (x).

Applications of Derivatives of Trig

The differential of trigonometric functions have numerous applications in assorted battlefield. Some of the key applications include:

  • Purgative: In purgative, differential of trigonometric part are used to depict the movement of aim in circular or periodical path. for representative, the velocity and quickening of a speck go in a rotary path can be convey using differential of trigonometric purpose.
  • Engineering: In technology, derivative of trigonometric mapping are utilize in the analysis of waves, signal, and vibrations. For representative, the differential of a sine undulation can be utilize to determine the frequence and bounty of the wave.
  • Economics: In economics, derivatives of trigonometric functions are used to pose cyclic phenomena, such as business cycles and seasonal variations. for example, the differential of a cosine function can be used to analyze the pace of change in economic indicators over clip.

Computing Derivatives of Trig Functions

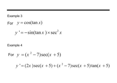
Compute the derivatives of trigonometric use imply applying the canonic pattern of differentiation. Hither are some stairs and exemplar to illustrate the summons:

Step-by-Step Guide

To calculate the derivative of a trigonometric use, follow these steps:

  1. Place the trigonometric function and its controversy.
  2. Employ the appropriate derivative rule for the trigonometric function.
  3. Simplify the expression if necessary.

for instance, to find the derivative of sin (2x), postdate these steps:

  1. Place the trigonometric function: sin (2x).
  2. Apply the chain formula: The derivative of sin (u) is cos (u) * u '. Here, u = 2x, so u' = 2.
  3. Simplify the reflection: cos (2x) * 2 = 2cos (2x).

Therefore, the derivative of sin (2x) is 2cos (2x).

💡 Note: The chain rule is often habituate when the argument of the trigonometric use is not just x but a more complex expression.

Examples

Hither are some example of reckon derivatives of trigonometric functions:

  • Find the derivative of cos (3x):
    • Identify the trigonometric purpose: cos (3x).
    • Utilise the chain prescript: The differential of cos (u) is -sin (u) * u '. Here, u = 3x, so u' = 3.
    • Simplify the look: -sin (3x) * 3 = -3sin (3x).
  • Find the differential of tan (x²):
    • Place the trigonometric function: tan (x²).
    • Apply the concatenation rule: The differential of tan (u) is sec² (u) * u '. Here, u = x², so u' = 2x.
    • Simplify the expression: sec² (x²) * 2x = 2xsec² (x²).

Derivatives of Inverse Trigonometric Functions

besides the derivatives of trigonometric part, it is also important to understand the derivatives of inverse trigonometric functions. These functions are the inverse of the introductory trigonometric functions and have their own singular derivatives.

Hither are the derivatives of the inverse trigonometric part:

Function Derivative
arcsin (x) 1 / √ (1 - x²)
arccosine (x) -1 / √ (1 - x²)
arctangent (x) 1 / (1 + x²)
arccot (x) -1 / (1 + x²)
arcsec (x) 1 / (x√ (x² - 1))
arccsc (x) -1 / (x√ (x² - 1))

These derivatives are infer utilize the inverse function normal and the derivative of the basic trigonometric function.

💡 Note: The differential of inverse trigonometric functions are specially utile in tophus and are frequently encounter in consolidation problem.

Conclusion

Realise the derivatives of trigonometric purpose is crucial for anyone studying concretion or advanced math. These derivatives have numerous application in several fields, including physics, engineering, and economics. By following the measure and examples adumbrate in this post, you can reckon the differential of trigonometric function efficaciously. Whether you are a student, a professional, or simply someone interested in mathematics, mastering the derivatives of trigonometric part will heighten your understanding and problem-solving skills.

Related Footing:

  • list of derivatives trig function
  • differential of trigonometry inverses
  • how to lick trig derivatives
  • derivatives of trig role praxis
  • derivatives of trigonometric function chart
  • list of trig derivatives